Producto escalar vs. producto vectorial: dos formas de multiplicar vectores
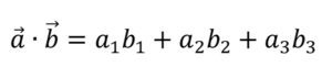
El producto escalar entre dos vectores tiene como resultado un número real. Este valor mide, en cierta forma, cuánto de un vector se proyecta en la dirección del otro. La fórmula más conocida es:
Otra forma práctica de calcularlo, especialmente útil en dimensiones concretas, es usando sus componentes:
¿Para qué sirve?
El producto escalar aparece en múltiples contextos: desde la física (trabajo = fuerza × desplazamiento × cos(θ)), hasta el análisis de ortogonalidad . Además, nos permite calcular ángulos entre vectores y proyectar uno sobre otro.
Un ejemplo:
Este valor nos da una idea de la “afinidad direccional” entre ambos vectores. Si el resultado hubiera sido cero, sabríamos que son ortogonales.
Producto vectorial
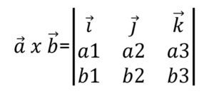
A diferencia del escalar, el producto vectorial entre dos vectores genera otro vector. Pero no cualquier vector: uno perpendicular a los dos vectores originales. Esto solo se define en tres dimensiones y se calcula como:
Esto da como resultado un nuevo vector en función de los determinantes.
¿Y esto para qué?
Este producto es esencial en física y geometría. Se usa para encontrar el vector normal a una superficie, calcular el momento de una fuerza, y determinar el área de un paralelogramo definido por dos vectores.
Un ejemplo:
¿Cómo transmitir esto al aula?
Al explicar estos conceptos, es clave resaltar la diferencia en los resultados: uno es un número, el otro un vector. También ayuda usar visualizaciones: recursos digitales como GeoGebra o simulaciones en 3D pueden ser aliados valiosos.
También resulta interesante proponer al alumnado situaciones de la vida real: ¿Cuánto trabajo se hace al arrastrar una caja? ¿Qué dirección toma el momento de fuerza al abrir una puerta? En ambos casos, estos productos vectoriales y escalares tienen un papel protagónico.
¿Qué estrategias usas para que tus estudiantes comprendan la diferencia entre estos dos productos?, ¿Qué ejemplos cotidianos utilizas para motivar estos conceptos? ¡Te leemos en los comentarios!








