Cómo calcular y entender el dominio de una función
El dominio de una función es el conjunto de todos los valores posibles de la variable independiente para los cuales la función está definida. Se representa como:
Otra forma de expresarlo es indicando los valores de que no pertenecen al dominio:
En muchos casos, es más sencillo identificar los puntos donde la función no existe y excluirlos del dominio.
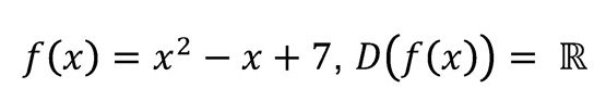
- Funciones polinómicas
Su dominio es toda la recta real, ya que los polinomios están definidos para cualquier número real.
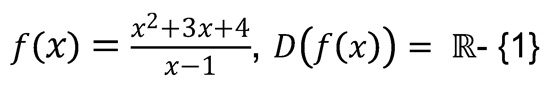
- Funciones racionales
El dominio incluye todos los números reales excepto aquellos que anulan el denominador, ya que no se puede dividir entre cero.
Ejemplo:
- Funciones irracionales
El dominio depende del índice de la raíz:
- Si el índice es impar, el dominio es todos los números reales.
- Si el índice es par, la expresión dentro de la raíz debe ser mayor o igual a cero.
- Funciones exponenciales
El dominio de cualquier función exponencial es toda la recta real.
Ejemplo:
- Funciones logarítmicas
Para que un logaritmo esté definido, su argumento debe ser mayor que cero.
Ejemplo: :
- Funciones trigonométricas
Comprender el dominio de una función es fundamental para su análisis y aplicación en distintas áreas. Desde las matemáticas puras hasta la ingeniería o la economía, conocer el conjunto de valores donde una función está definida nos permite interpretar mejor su comportamiento. Para una mayor profundización en este tema, se recomienda el libro: Matemáticas: Funciones. Límites, derivadas e integrales.
¿Tienes alguna forma especial de explicar el concepto de dominio? ¡Déjanos tu comentario y sigamos aprendiendo juntos!








Muy útil para todo el tema de funciones!
Muy bien explicado
La clasificación que has hecho, es perfecta.